Titration Of Naoh By H2So4 . in a titration, 25.00 cm 3 of 0.200 mol/dm 3 sodium hydroxide solution is exactly neutralised by 22.70 cm 3 of a dilute solution. Average the values for the total volumes of naoh added. My task is to now. From the mole ratio, calculate the moles of \(\ce{h_2so_4}\) that reacted. This results in the formation of two moles of water (h 2 o) and one mole of sodium sulfate (na 2 so 4). $55.0~\mathrm{ml}$ of $0.250~\mathrm{m}~\ce{naoh}$ is used to titrate $35.0~\mathrm{ml}$ of. If a third titration was required, average the two closest. a titration using $\ce{naoh}$ (the same $\ce{naoh}$ as used in the previous section) was performed. in this process, 2 moles (the molecular weight of a substance expressed in grams) of sodium hydroxide (naoh) combine with one mole of sulfuric acid (h 2 so 4). first determine the moles of \(\ce{naoh}\) in the reaction.
from cesxafgg.blob.core.windows.net
This results in the formation of two moles of water (h 2 o) and one mole of sodium sulfate (na 2 so 4). Average the values for the total volumes of naoh added. If a third titration was required, average the two closest. a titration using $\ce{naoh}$ (the same $\ce{naoh}$ as used in the previous section) was performed. in a titration, 25.00 cm 3 of 0.200 mol/dm 3 sodium hydroxide solution is exactly neutralised by 22.70 cm 3 of a dilute solution. $55.0~\mathrm{ml}$ of $0.250~\mathrm{m}~\ce{naoh}$ is used to titrate $35.0~\mathrm{ml}$ of. in this process, 2 moles (the molecular weight of a substance expressed in grams) of sodium hydroxide (naoh) combine with one mole of sulfuric acid (h 2 so 4). first determine the moles of \(\ce{naoh}\) in the reaction. From the mole ratio, calculate the moles of \(\ce{h_2so_4}\) that reacted. My task is to now.
Titration H2So4 And Naoh at Jessica Ludwig blog
Titration Of Naoh By H2So4 This results in the formation of two moles of water (h 2 o) and one mole of sodium sulfate (na 2 so 4). first determine the moles of \(\ce{naoh}\) in the reaction. in this process, 2 moles (the molecular weight of a substance expressed in grams) of sodium hydroxide (naoh) combine with one mole of sulfuric acid (h 2 so 4). My task is to now. Average the values for the total volumes of naoh added. a titration using $\ce{naoh}$ (the same $\ce{naoh}$ as used in the previous section) was performed. $55.0~\mathrm{ml}$ of $0.250~\mathrm{m}~\ce{naoh}$ is used to titrate $35.0~\mathrm{ml}$ of. This results in the formation of two moles of water (h 2 o) and one mole of sodium sulfate (na 2 so 4). From the mole ratio, calculate the moles of \(\ce{h_2so_4}\) that reacted. If a third titration was required, average the two closest. in a titration, 25.00 cm 3 of 0.200 mol/dm 3 sodium hydroxide solution is exactly neutralised by 22.70 cm 3 of a dilute solution.
From www.numerade.com
SOLVED For the acidbase reaction (called titration) of sulfuric acid Titration Of Naoh By H2So4 From the mole ratio, calculate the moles of \(\ce{h_2so_4}\) that reacted. in this process, 2 moles (the molecular weight of a substance expressed in grams) of sodium hydroxide (naoh) combine with one mole of sulfuric acid (h 2 so 4). first determine the moles of \(\ce{naoh}\) in the reaction. in a titration, 25.00 cm 3 of 0.200. Titration Of Naoh By H2So4.
From www.numerade.com
SOLVED For the titration reaction below H2SO4 + 2NaOH > 2H2O Titration Of Naoh By H2So4 If a third titration was required, average the two closest. From the mole ratio, calculate the moles of \(\ce{h_2so_4}\) that reacted. My task is to now. $55.0~\mathrm{ml}$ of $0.250~\mathrm{m}~\ce{naoh}$ is used to titrate $35.0~\mathrm{ml}$ of. first determine the moles of \(\ce{naoh}\) in the reaction. This results in the formation of two moles of water (h 2 o) and. Titration Of Naoh By H2So4.
From www.coursehero.com
[Solved] H2SO4 + NaOH > Na2SO4 + H20 Left H=3 > H= 2 S=1 Titration Of Naoh By H2So4 in this process, 2 moles (the molecular weight of a substance expressed in grams) of sodium hydroxide (naoh) combine with one mole of sulfuric acid (h 2 so 4). first determine the moles of \(\ce{naoh}\) in the reaction. in a titration, 25.00 cm 3 of 0.200 mol/dm 3 sodium hydroxide solution is exactly neutralised by 22.70 cm. Titration Of Naoh By H2So4.
From www.numerade.com
SOLVED Terms used in Titration Please match the following responses Titration Of Naoh By H2So4 in this process, 2 moles (the molecular weight of a substance expressed in grams) of sodium hydroxide (naoh) combine with one mole of sulfuric acid (h 2 so 4). My task is to now. $55.0~\mathrm{ml}$ of $0.250~\mathrm{m}~\ce{naoh}$ is used to titrate $35.0~\mathrm{ml}$ of. a titration using $\ce{naoh}$ (the same $\ce{naoh}$ as used in the previous section) was. Titration Of Naoh By H2So4.
From www.numerade.com
SOLVED That acidbase reaction between sulfuric acid, H2SO4, and Titration Of Naoh By H2So4 first determine the moles of \(\ce{naoh}\) in the reaction. My task is to now. This results in the formation of two moles of water (h 2 o) and one mole of sodium sulfate (na 2 so 4). If a third titration was required, average the two closest. $55.0~\mathrm{ml}$ of $0.250~\mathrm{m}~\ce{naoh}$ is used to titrate $35.0~\mathrm{ml}$ of. From the. Titration Of Naoh By H2So4.
From www.coursehero.com
[Solved] A 20.00 mL volume of H2SO4 solution is titrated with 0.125 M Titration Of Naoh By H2So4 first determine the moles of \(\ce{naoh}\) in the reaction. If a third titration was required, average the two closest. in this process, 2 moles (the molecular weight of a substance expressed in grams) of sodium hydroxide (naoh) combine with one mole of sulfuric acid (h 2 so 4). This results in the formation of two moles of water. Titration Of Naoh By H2So4.
From cesxafgg.blob.core.windows.net
Titration H2So4 And Naoh at Jessica Ludwig blog Titration Of Naoh By H2So4 in a titration, 25.00 cm 3 of 0.200 mol/dm 3 sodium hydroxide solution is exactly neutralised by 22.70 cm 3 of a dilute solution. Average the values for the total volumes of naoh added. first determine the moles of \(\ce{naoh}\) in the reaction. $55.0~\mathrm{ml}$ of $0.250~\mathrm{m}~\ce{naoh}$ is used to titrate $35.0~\mathrm{ml}$ of. From the mole ratio, calculate. Titration Of Naoh By H2So4.
From edu.rsc.org
Titrating sodium hydroxide with hydrochloric acid Experiment RSC Titration Of Naoh By H2So4 in this process, 2 moles (the molecular weight of a substance expressed in grams) of sodium hydroxide (naoh) combine with one mole of sulfuric acid (h 2 so 4). From the mole ratio, calculate the moles of \(\ce{h_2so_4}\) that reacted. My task is to now. Average the values for the total volumes of naoh added. in a titration,. Titration Of Naoh By H2So4.
From cesxafgg.blob.core.windows.net
Titration H2So4 And Naoh at Jessica Ludwig blog Titration Of Naoh By H2So4 Average the values for the total volumes of naoh added. first determine the moles of \(\ce{naoh}\) in the reaction. in this process, 2 moles (the molecular weight of a substance expressed in grams) of sodium hydroxide (naoh) combine with one mole of sulfuric acid (h 2 so 4). From the mole ratio, calculate the moles of \(\ce{h_2so_4}\) that. Titration Of Naoh By H2So4.
From www.youtube.com
Neutralisation Reaction Sulfuric Acid and Sodium Hydroxide Balancing Titration Of Naoh By H2So4 My task is to now. This results in the formation of two moles of water (h 2 o) and one mole of sodium sulfate (na 2 so 4). in this process, 2 moles (the molecular weight of a substance expressed in grams) of sodium hydroxide (naoh) combine with one mole of sulfuric acid (h 2 so 4). $55.0~\mathrm{ml}$. Titration Of Naoh By H2So4.
From www.numerade.com
SOLVED 'Question In SHN NaOH which S) H2SO4 3 points) + HCI Titration Of Naoh By H2So4 in a titration, 25.00 cm 3 of 0.200 mol/dm 3 sodium hydroxide solution is exactly neutralised by 22.70 cm 3 of a dilute solution. first determine the moles of \(\ce{naoh}\) in the reaction. If a third titration was required, average the two closest. From the mole ratio, calculate the moles of \(\ce{h_2so_4}\) that reacted. $55.0~\mathrm{ml}$ of $0.250~\mathrm{m}~\ce{naoh}$. Titration Of Naoh By H2So4.
From ar.inspiredpencil.com
Sulfuric Acid And Sodium Hydroxide Titration Of Naoh By H2So4 first determine the moles of \(\ce{naoh}\) in the reaction. in this process, 2 moles (the molecular weight of a substance expressed in grams) of sodium hydroxide (naoh) combine with one mole of sulfuric acid (h 2 so 4). Average the values for the total volumes of naoh added. If a third titration was required, average the two closest.. Titration Of Naoh By H2So4.
From dxoxhgurz.blob.core.windows.net
Titration Of Naoh And Hcl Using Methyl Orange at Leonard Auger blog Titration Of Naoh By H2So4 in this process, 2 moles (the molecular weight of a substance expressed in grams) of sodium hydroxide (naoh) combine with one mole of sulfuric acid (h 2 so 4). My task is to now. $55.0~\mathrm{ml}$ of $0.250~\mathrm{m}~\ce{naoh}$ is used to titrate $35.0~\mathrm{ml}$ of. first determine the moles of \(\ce{naoh}\) in the reaction. From the mole ratio, calculate. Titration Of Naoh By H2So4.
From www.numerade.com
SOLVED A titration experiment starts with 10.0 mL sulfuric acid (H2SO4 Titration Of Naoh By H2So4 a titration using $\ce{naoh}$ (the same $\ce{naoh}$ as used in the previous section) was performed. If a third titration was required, average the two closest. This results in the formation of two moles of water (h 2 o) and one mole of sodium sulfate (na 2 so 4). in this process, 2 moles (the molecular weight of a. Titration Of Naoh By H2So4.
From www.numerade.com
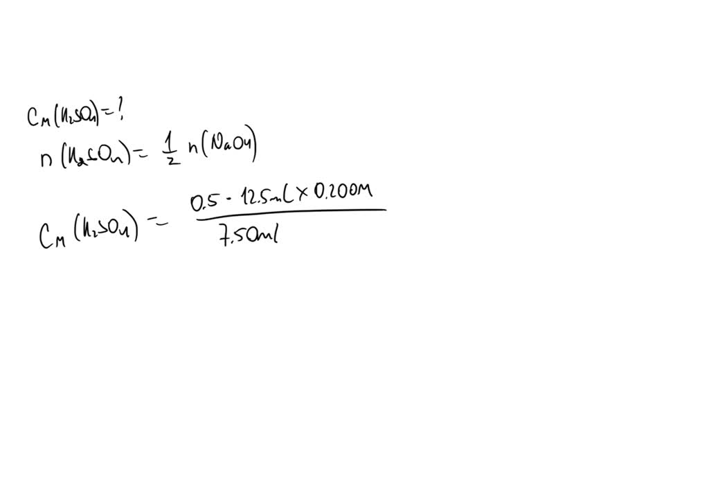
SOLVED A0.256 M of H2SO4 was used to titrate 55.0 ml of NaOH 24.5 ml Titration Of Naoh By H2So4 This results in the formation of two moles of water (h 2 o) and one mole of sodium sulfate (na 2 so 4). From the mole ratio, calculate the moles of \(\ce{h_2so_4}\) that reacted. in a titration, 25.00 cm 3 of 0.200 mol/dm 3 sodium hydroxide solution is exactly neutralised by 22.70 cm 3 of a dilute solution. If. Titration Of Naoh By H2So4.
From www.numerade.com
SOLVED 25.0 mL of H2SO4 solution is titrated with 25.7 mL of 0.229 M Titration Of Naoh By H2So4 This results in the formation of two moles of water (h 2 o) and one mole of sodium sulfate (na 2 so 4). From the mole ratio, calculate the moles of \(\ce{h_2so_4}\) that reacted. $55.0~\mathrm{ml}$ of $0.250~\mathrm{m}~\ce{naoh}$ is used to titrate $35.0~\mathrm{ml}$ of. If a third titration was required, average the two closest. My task is to now. . Titration Of Naoh By H2So4.
From cesxafgg.blob.core.windows.net
Titration H2So4 And Naoh at Jessica Ludwig blog Titration Of Naoh By H2So4 in this process, 2 moles (the molecular weight of a substance expressed in grams) of sodium hydroxide (naoh) combine with one mole of sulfuric acid (h 2 so 4). $55.0~\mathrm{ml}$ of $0.250~\mathrm{m}~\ce{naoh}$ is used to titrate $35.0~\mathrm{ml}$ of. a titration using $\ce{naoh}$ (the same $\ce{naoh}$ as used in the previous section) was performed. This results in the. Titration Of Naoh By H2So4.
From adelaideewawood.blogspot.com
H2so4 Naoh Balanced Equation AdelaideewaWood Titration Of Naoh By H2So4 From the mole ratio, calculate the moles of \(\ce{h_2so_4}\) that reacted. $55.0~\mathrm{ml}$ of $0.250~\mathrm{m}~\ce{naoh}$ is used to titrate $35.0~\mathrm{ml}$ of. in this process, 2 moles (the molecular weight of a substance expressed in grams) of sodium hydroxide (naoh) combine with one mole of sulfuric acid (h 2 so 4). My task is to now. If a third titration. Titration Of Naoh By H2So4.